• Добро пожаловать на Черная дыра.
 

Передвижение в космосе

Автор Владимир Зайцев, 02.02.2015 07:50:06

« назад - далее »

0 Пользователи и 1 гость просматривают эту тему.

Старый

Цитироватьартём сухоев пишет: 
Про орбиту, ... фокус, ... понятно. Мня мучает другой вопрос. Некий "гипотетический" спутник, непрерывно, и энергично, меняет наклонение орбиты. Может он описать окружность? Не принимаем во внимание различные рассходы.
Может конечно и окружность. 
Однако вы переводите стрелки и уходите от вопроса о вашем устройстве. 
1. Ангара - единственная в мире новая РН которая хуже старой (с) Старый Ламер
2. Назначение Роскосмоса - не летать в космос а выкачивать из бюджета деньги
3. Ракеты у Маска длиннее и толще чем у Роскосмоса
4. Чем мрачнее реальность тем ярче бред (с) Старый Ламер

Leonar

Цитироватьартём сухоев пишет:
А, каковы линейные скорости, в турбине ГЭС? Пробавал найти ненашел.
http://5terka.com/node/3194

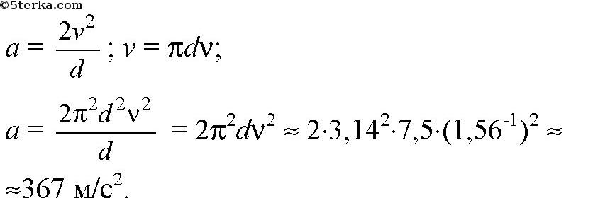
ЦитироватьРабочее колесо турбины Красноярской ГЭС имеет диаметр 7,5 м и вращается с частотой 93,8 об/мин. Каково центростремительное ускорение концов лопаток турбины?
дано :






Найти а.
Решение.


Ответ:
а=276 



линейную найти 

ЦитироватьСтарый пишет:
Цитироватьартём сухоев пишет:
Про орбиту, ... фокус, ... понятно. Мня мучает другой вопрос. Некий "гипотетический" спутник, непрерывно, и энергично, меняет наклонение орбиты. Может он описать окружность? Не принимаем во внимание различные рассходы.
Может конечно и окружность.
Однако вы переводите стрелки и уходите от вопроса о вашем устройстве.
Отчегоже, эт-же, есть сама суть, моей "идеи". Два таких "сптника" будут менять наклонение "орбит", друг-другу, через ферму.


ЦитироватьLeonar пишет:
Цитироватьартём сухоев пишет:
А, каковы линейные скорости, в турбине ГЭС? Пробавал найти ненашел.
http://5terka.com/node/3194
ЦитироватьРабочее колесо турбины Красноярской ГЭС имеет диаметр 7,5 м и вращается с частотой 93,8 об/мин. Каково центростремительное ускорение концов лопаток турбины?
дано :

 




Найти а.
Решение.
 

Ответ:
а=276



линейную найти

Пф... эээ... В умесчита (наверно, неверно). 48м/с(около)?

Зомби. Просто Зомби

Цитироватьартём сухоев пишет:
сама суть, моей "идеи". Два таких "сптника" будут менять наклонение "орбит", друг-другу, через ферму
Суть изложена непонятно.

На гироскоп "с осью на центр Земли" ничего действовать не будет.
Но вообще-то есть и такое:

http://novosti-kosmonavtiki.ru/forum/messages/forum12/topic8307/message543107/#message543107
Не копать!

Старый

Цитироватьартём сухоев пишет:
ЦитироватьСтарый пишет:
Цитироватьартём сухоев пишет:
Про орбиту, ... фокус, ... понятно. Мня мучает другой вопрос. Некий "гипотетический" спутник, непрерывно, и энергично, меняет наклонение орбиты. Может он описать окружность? Не принимаем во внимание различные рассходы.
Может конечно и окружность.
Однако вы переводите стрелки и уходите от вопроса о вашем устройстве.
Отчегоже, эт-же, есть сама суть, моей "идеи". Два таких "сптника" будут менять наклонение "орбит", друг-другу, через ферму.
Какое ещё наклонение, каких ещё орбит? У вашей вращающейся гантели нет никаких орбит и никаких наклонений. 

И потом суть вашей идеи вроде была в том что ваша гантеля должна была подняться в космос? Уже нет? Уже она спокойно крутится на земле а вы стоите рядом и мелете непонятные вам слова про орбиты и наклонения?
1. Ангара - единственная в мире новая РН которая хуже старой (с) Старый Ламер
2. Назначение Роскосмоса - не летать в космос а выкачивать из бюджета деньги
3. Ракеты у Маска длиннее и толще чем у Роскосмоса
4. Чем мрачнее реальность тем ярче бред (с) Старый Ламер

Кубик

Цитироватьvasanov пишет:
А как Вы думаете поведет себя огромное кольцо ( диаметром больше диаметра Земли)раскрученное хотябы до 15 км/с и висящее высоко над северным ( или южным) полюсом Земли? Куда оно будет двигаться?

Хоть бы вы нас не пугали.. :o Земля - не идеальный шарик, да еще сторонние силы..Упадёт ведь оно, в идеале, качаясь туды -сюды вдоль направления земной оси...а на деле всем нам капец! :evil:
И бесы веруют... И - трепещут!

Кубик

Цитироватьартём сухоев пишет:
Некий "гипотетический" спутник, непрерывно, и энергично, меняет наклонение орбиты. Может он описать окружность? Не принимаем во внимание различные рассходы.

Тогда это задача не для космонавтики - обратитесь к математикам, они вам проведут анализ возможных пространственных кривых в результате произвольных наборов двух движений. Мы тут люди практические..
И бесы веруют... И - трепещут!

vasanov

ЦитироватьКубик пишет:
Цитироватьvasanov пишет:
А как Вы думаете поведет себя огромное кольцо ( диаметром больше диаметра Земли)раскрученное хотябы до 15 км/с и висящее высоко над северным ( или южным) полюсом Земли? Куда оно будет двигаться?
Хоть бы вы нас не пугали..  :o  Земля - не идеальный шарик, да еще сторонние силы..Упадёт ведь оно, в идеале, качаясь туды -сюды вдоль направления земной оси...а на деле всем нам капец!
Я думаю ничего страшного не произойдет. Такое кольцо будет смещаться вдоль Земли от одного полюса к другому и назад и со временем займет экваториальную орбиту - это будет уравновешенное состояние когда центр масс кольца совпадет с центром масс Земли. И пока кольцо вращается, оно не упадет на Землю.

Кубик

Я же напомнил: Земля - не идеальная сфера, в том числе и в отношении гравитации, плюс к тому существуют возмущения, хоть от Луны - орбита не экваториальна, хоть от Солнца...Как пить дать, устроит такое колечко на Земле весёлый покатыш...
И бесы веруют... И - трепещут!

Leonar

ЦитироватьКубик пишет:
Цитироватьартём сухоев пишет:
Некий "гипотетический" спутник, непрерывно, и энергично, меняет наклонение орбиты. Может он описать окружность? Не принимаем во внимание различные рассходы.

Тогда это задача не для космонавтики - обратитесь к математикам, они вам проведут анализ возможных пространственных кривых в результате произвольных наборов двух движений. Мы тут люди практические..
Да какая математика... Ускорение - это скорость изменения скорости...
при движении по кругу в плоскости круга меняется направление вектора скорости сиречь меняется скорость в перпендикулярном направлении от касательной, значится в общем случае появляется ускорение в этом направлении...
В плоскости по оси диска, скорости не меняется в направлениях оси, значится ускорения в тех направлениях нет.

dmdimon

Цитироватьvasanov пишет:
ЦитироватьКубик пишет:
Цитироватьvasanov пишет:
А как Вы думаете поведет себя огромное кольцо ( диаметром больше диаметра Земли)раскрученное хотябы до 15 км/с и висящее высоко над северным ( или южным) полюсом Земли? Куда оно будет двигаться?
Хоть бы вы нас не пугали..  :o  Земля - не идеальный шарик, да еще сторонние силы..Упадёт ведь оно, в идеале, качаясь туды -сюды вдоль направления земной оси...а на деле всем нам капец!
Я думаю ничего страшного не произойдет. Такое кольцо будет смещаться вдоль Земли от одного полюса к другому и назад и со временем займет экваториальную орбиту - это будет уравновешенное состояние когда центр масс кольца совпадет с центром масс Земли. И пока кольцо вращается, оно не упадет на Землю.
у такой системы равновесие неустойчивое. В реальности кольцо рухнет на Землю. Тема миллион раз обсосана при обсуждениях например "мира кольца"
push the human race forward

Кубик

ЦитироватьLeonar пишет:
Да какая математика... Ускорение - это скорость изменения скорости...
при движении по кругу в плоскости круга меняется направление вектора скорости сиречь
меняется скорость в перпендикулярном направлении от касательной, значится в
общем случае появляется ускорение в этом направлении... В плоскости по оси
диска, скорости не меняется в направлениях оси, значится ускорения в тех
Он же спрашивал - опишет ли точка окружность, если сложить два движения: точки по замкнутой плоской кривой( произвольный эллипс, орбита) и вращения её плоскости, не задав скоростей..,..ну и что можно ответить?
И бесы веруют... И - трепещут!

Leonar

ЦитироватьКубик пишет:
ЦитироватьLeonar пишет:
Да какая математика... Ускорение - это скорость изменения скорости...
при движении по кругу в плоскости круга меняется направление вектора скорости сиречь
меняется скорость в перпендикулярном направлении от касательной, значится в
общем случае появляется ускорение в этом направлении... В плоскости по оси
диска, скорости не меняется в направлениях оси, значится ускорения в тех
Он же спрашивал - опишет ли точка окружность, если сложить два движения: точки по замкнутой плоской кривой( произвольный эллипс, орбита) и вращения её плоскости, не задав скоростей..,..ну и что можно ответить?
в итоге траектория движения мат точки какое будет? он хочет окружность с осью через центр земли...
перпендикулярно плоскости вращения точка будет двигаться возвратно поступательно и точка...вектора ускорения вдоль векторов скорости...без разницы их величина,
короче вверх и вниз не будет векторов ускорения точки
а на тело в этой точке только мж бужет действовать

vasanov

Цитироватьdmdimon пишет: 
 у такой системы равновесие неустойчивое. В реальности кольцо рухнет на Землю. Тема миллион раз обсосана при обсуждениях например "мира кольца"

Вопрос тут спорный. Вполне можно запустить на одну орбиту множество спутников друг за другом и потом механически связать их в кольцо. И это кольцо вполне может спокойно вращаться не падая на Землю. Кольца Сатурна тому пример. Конечно компенсировать возмущения от Луны и Солнца прийдется.

Кубик

Цитироватьvasanov пишет: Вопрос тут спорный. Вполне можно запустить на одну орбиту множество спутников
друг за другом и потом механически связать их в кольцо.
Вопрос был о кольце, центр масс которого не совпадает с центром Земли, т.е - не орбитальном.. 
И бесы веруют... И - трепещут!

dmdimon

Цитироватьvasanov пишет:
Цитироватьdmdimon пишет:
 у такой системы равновесие неустойчивое. В реальности кольцо рухнет на Землю. Тема миллион раз обсосана при обсуждениях например "мира кольца"

Вопрос тут спорный. Вполне можно запустить на одну орбиту множество спутников друг за другом и потом механически связать их в кольцо. И это кольцо вполне может спокойно вращаться не падая на Землю. Кольца Сатурна тому пример. Конечно компенсировать возмущения от Луны и Солнца прийдется.
кольца сатурна - состоят из несвязанных объектов. Жесткое кольцо - совсем другая тема.
push the human race forward

vasanov

Цитироватьdmdimon пишет:
Цитироватькольца сатурна - состоят из несвязанных объектов. Жесткое кольцо - совсем другая тема.


 Движения внутри одного кольца Сатурна настолько незначительные, что его можно рассматривать как один объект. И при таких диаметрах - больше диаметра Земли, ни одна конструкция не будет жесткой. Так, что кольцо будет достаточно гибким, чтоб огибать гравитационные неоднородности и реагировать на влияния Солнца и Луны. Конечно на высотах в 200 - 300 км от поверхности Земли, кольцо лучше не раскручивать, а 5 000 - 10 000 км, вполне сойдет. Можно просто несколько крупных спутников связать тросами, тоже будет кольцо и по тросам пустить лифты. В общем я считаю, что система довольно долго может быть устойчивой и сразу не упадет на Землю, а с коррекцией орбиты, практически никогда не упадет.
 Когда-то в 70 годах в журнале "Техника молодежи" предлагали с помощью   экваториального кольца выводить и спускать на Землю полезные грузы. Мне такая идея понравилась. Может здесь такое уже и обсуждали, я весь форум не читал. Но не сомневаюсь, что эту идею здесь сразу же забраковали бы и размеры большие и стоит дорого. А это было бы не хуже космического лифта, по минимуму стоимости вывода 1 кг груза на орбиту.

Leonar

это и был бы космический лифт со всеми его проблемами